">
| 索引號 | 115002287365799160/2025-00001 | 發文字號 | |
| 主題分類 | 社會救助 | 體裁分類 | 其他 |
| 發布機構 | 梁平區石安鎮政府 | 有效性 | |
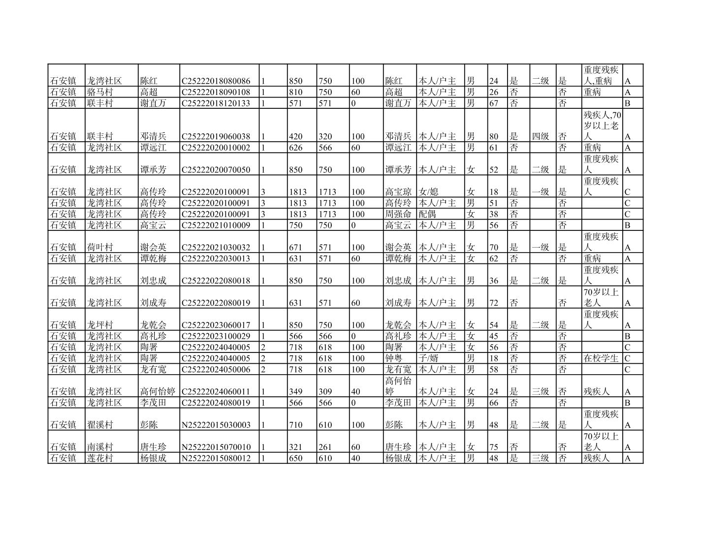
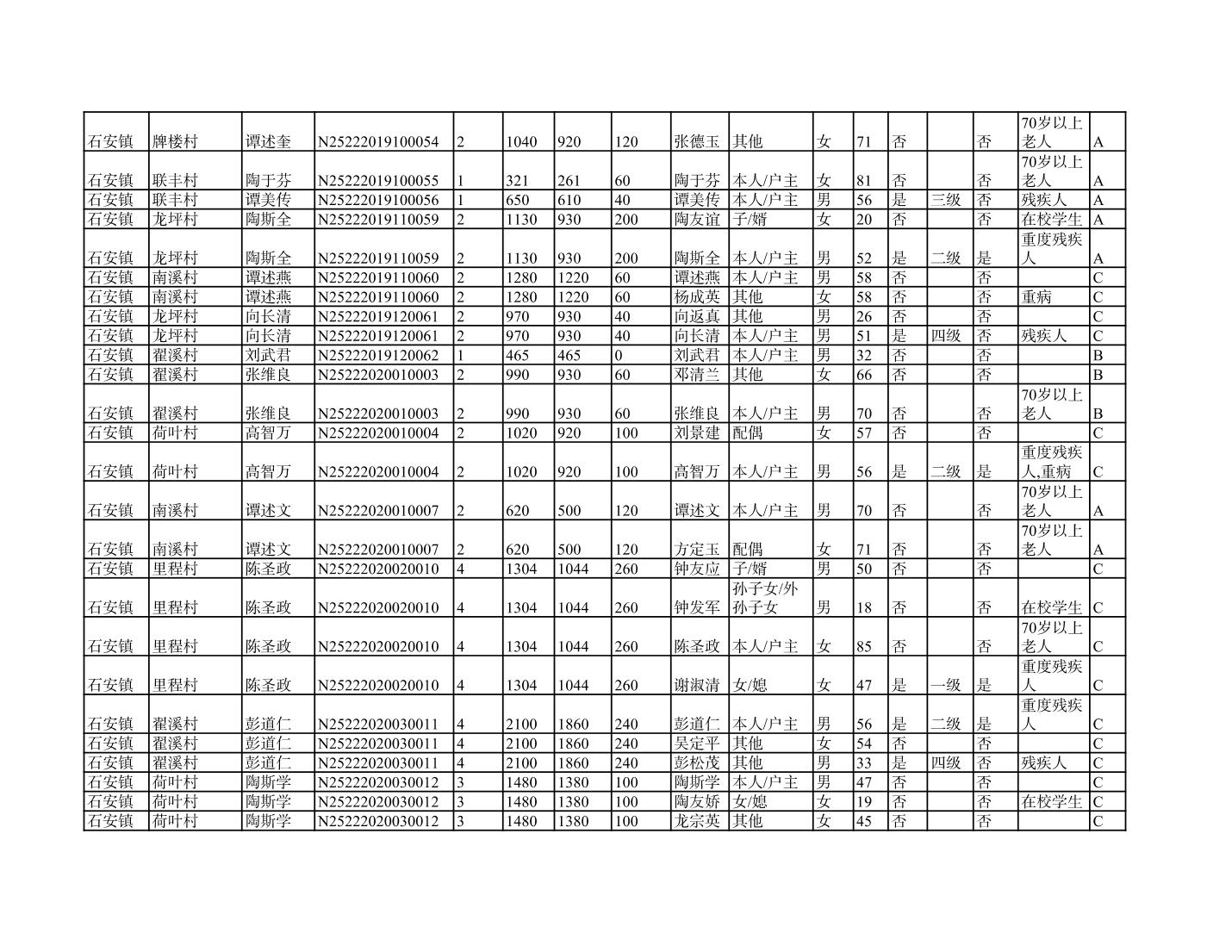
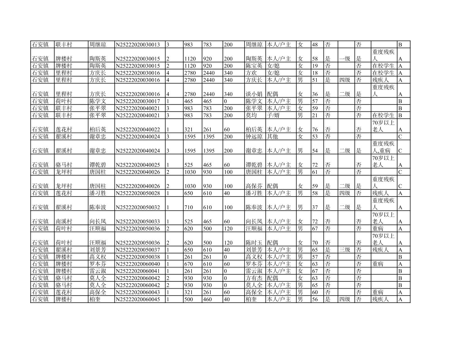
| 標題 | 重慶市梁平區石安鎮人民政府2025年1月低保發放表 | ||
| 成文日期 | 2025-01-06 | 發布日期 | 2025-01-06 |
| 索引號 | 115002287365799160/2025-00001 |
| 發文字號 | |
| 主題分類 | 社會救助 |
| 體裁分類 | 其他 |
| 發布機構 | 梁平區石安鎮政府 |
| 有效性 | |
| 標題 | 重慶市梁平區石安鎮人民政府2025年1月低保發放表 |
| 成文日期 | 2025-01-06 |
| 發布日期 | 2025-01-06 |




















